金屬局部腐蝕主要類型
電偶腐蝕 點蝕(孔蝕)
縫隙腐蝕(絲狀腐蝕) 晶間腐蝕
選擇性腐蝕 應力腐蝕開裂
腐蝕疲勞 磨損腐蝕
剝蝕 氫損傷
三、縫隙腐蝕
.定義:Crevice Corrosion
-在金屬與金屬及金屬和非金屬之間構成狹窄的縫隙內,有電解質溶液存在,介質的遷移受到阻滯時產生的一種局部腐蝕形態
.縫隙腐蝕發生的幾何條件
-縫隙
-寬到溶液能夠流入縫隙內
-窄到能維持液體在縫內停滯
-最敏感的縫寬約為0.025-0.1mm。
縫隙種類
●機器和設備上的結構縫隙
●固體沉積(泥沙、腐蝕產物等)與金屬基體形成的縫隙。
●金屬表面的保護模 (如瓷漆、清漆、磷化層、金屬涂層)與金屬基體之間形成的縫隙。

縫隙腐蝕特征
1.可發生在所有的金屬和合金上,特別容易發生在靠鈍化耐蝕的金屬材料表面。
2.介質可以是任何酸性或中性的侵蝕性溶液,而含有Cl-的溶液最易引發縫隙腐蝕。
3.與點蝕相比,縫隙腐蝕更容易發生。當Eb<E<Ep時,原有的蝕孔可以發展,但不會產生新的蝕孔;而縫隙腐蝕在該電位區間內,既能發生,又能發展。縫隙腐蝕的臨界電位比點蝕電位低。
縫隙腐蝕機理
.腐蝕前
縫內外的金屬表面發生相同的陰、陽極反應
陽極反應:
陰極反應:
.腐蝕起始階段
縫內缺氧,縫外富氧,形成了“供氧差異電池”
.腐蝕加速階段
縫隙幾何形狀及產物堆積形成“閉塞電池”
“閉塞電池”引起的酸化自催化作用
1.在整個表面均勻發生陽極和陰極反應

2.縫隙內氧濃度降低,氧還原反應終止;縫隙外供氧充分,氧還原反應繼續進行
構成氧濃差電池!縫內陽極,縫外陰極

3.縫隙內
縫隙外![]()
.大陰極-小陽極:縫隙內腐蝕電流密度很大
.在縫隙口容易形成二次腐蝕產物沉淀 --> 閉塞電池

4.閉塞電池形成:
.縫隙內金屬離子難以遷出,正電荷過剩
.吸引縫隙外Cl-進入縫隙,以保持電荷平衡

5.縫隙內高濃度氯化物水解

.縫隙內介質嚴重酸化,pH~3,加速陽極溶解

6.陽極加速溶解,又引起更多Cl-遷入,氯化物濃度增加,氯化物水解又使介質進一步酸化,又使陽極溶解:往復循環
.形成閉塞電池內的自催化溶解過程


金屬在海水中(中性氯化物溶液)縫隙腐蝕
影響因素
●縫隙的幾何因素
-縫隙腐蝕與縫外面積有關
-外部面積增大,縫縫內腐蝕嚴重
-縫外-縫內:大陰極-小陽極

●環境因素
1.溶液中溶解的氧濃度:
.氧濃度增加,縫外陰極還原反應更易進行,縫隙腐蝕加劇
2.溶液中Cl-濃度:
.Cl-濃度增加,電位負移,縫隙腐蝕加速
3.溫度:
.溫度升高加速陽極反應
.在敞開系統的海水中,80℃達到最大腐蝕速度,高于80℃時,由于溶液的溶氧下降,縫隙腐蝕速度下降。
.在含氯離子的介質中,各種不銹鋼存在一個臨界縫隙腐蝕溫度
4.pH:
-只要縫外金屬能夠保持鈍態,pH降低,縫隙腐蝕量增加。
5.腐蝕介質的流速:
-流速有正、反兩個方面的作用
-當流速適當增加時,增大了縫外溶液的含氧量,縫隙腐蝕加重
-對于由沉積物引起的縫隙腐蝕,流速加大,可能將沉積物沖掉,縫隙腐蝕減輕
縫隙腐蝕控制措施
1.合理設計:避免縫隙的形成最能有效地預防縫隙腐蝕的發生。
2.選材:根據介質的不同選擇適合的材料可以減輕縫隙腐蝕。
3.電化學保護:陰極保護有助于減輕縫隙腐蝕。
4.應用緩蝕劑:采用足量的磷酸鹽、鉻酸鹽和亞硝酸鹽的混合物,對鋼、黃銅和Zn結構是有效的,也可以在結合面上涂有加緩蝕劑的油漆。
合理設計

(a)墊圈在零件邊緣凸出,墊圈下易形成縫隙腐蝕
(b)墊圈小時,易形成臟物下的縫隙腐蝕
(c)尺寸大小合適
(d)與加緩蝕劑的瑪蹄脂層相結合的墊圈
(e)環形密封圈

孔蝕和縫隙腐蝕的比較
相似:成長機理一致——閉塞電池
.由于幾何形狀或腐蝕產物在縫隙、蝕坑或裂紋出口處的堆積,使腐蝕介質流動的通道閉塞
.腐蝕介質擴散受阻,使腔內介質組分、濃度和pH值與整體介質差異很大,形成閉塞電池
不同:形成過程不同
.縫隙腐蝕:
-腐蝕前縫隙已經存在,腐蝕一開始就是閉塞電池作用,閉塞程度大
-由于介質的濃差引起
-形態廣而淺
-更易發生
.點蝕:
-腐蝕過程逐漸形成蝕坑(閉塞電池),而后加速腐蝕
-由于鈍化膜的破壞引起
四、晶間腐蝕
●定義:Intergranular Corrosion
金屬材料在特定的腐蝕介質中沿著材料的晶粒邊界或晶界附近發生腐蝕,使晶粒之間喪失結合力的一種局部破壞的腐蝕現象。
發生晶間腐蝕的電化學條件
(1)內因
——晶粒和晶界區的組織不同,電化學性質存在顯著差異。
(2)外因
——晶粒和晶界的差異要在適當的環境下才能顯露出來。
晶間腐蝕的特點
●危害性很大
-宏觀上可能沒有任何明顯的變化
-但材料的強度幾乎完全喪失
-經常導致設備的突然破壞
●應力腐蝕開裂的起源
-晶間腐蝕常常會轉變為沿晶應力腐蝕開裂,成為應力腐蝕裂紋的起源
●有效利用
-在極端的情況下,可以利用材料的晶間腐蝕過程制造合金粉末
晶間腐蝕的原因
●金屬和合金處于特定的腐蝕介質中時,晶界和晶粒本體就會顯現出不同的電化學特性。
●晶界和晶粒的電化學不均勻性,構成腐蝕原電池。
-晶界為陽極
-晶粒為陰極
●由于晶界的面積很小,構成“小陽極-大陰極”
晶間腐蝕機理
1. 貧Cr理論—晶界碳化物析出
為什么Ni-Cr不銹鋼敏化處理后出現嚴重的晶間腐蝕?
敏化處理(427-816度保溫緩冷)
——晶界析出連續的M23C6的碳化物,使晶界產生嚴重的貧Cr區。

●碳化物沿晶界析出并進一步生長
--》C和Cr依靠由晶內向晶界擴散
--》C擴散>Cr:固溶體內幾乎所有的C都用于生成碳化物,只有晶界附近的Cr能參與碳化物的生成反應
--》在晶界附近形成一條貧Cr帶,Cr含量低于發生鈍化所需的12%。
--》貧Cr帶的Cr含量低
--》在弱氧化性介質中:
.晶界貧Cr區為處于活化狀態的陽極區,快速溶解
.不貧Cr的晶粒內處于鈍化的陰極區
--》貧Cr區為小陽極,晶粒內為大陰極,腐蝕速度顯著加快
--》貧Cr區:150~200nm(18-8)
●鐵素體不銹鋼
-晶界上析出Cr的C、N化物,(Cr,Fe)7C3
-C、N在鐵素體中固溶度更小,Cr在鐵素體中擴散速度更大——Cr的C、N化物容易在晶界析出
●高強鋁合金(Al-Cu,Al-Cu-Mg)
-工業大氣、海洋大氣、海水環境
-晶界析出CuAl2或Mg2Al3——形成貧Cu或貧Mg區
●鎳基合金
-Ni-Mo:沿晶界板出Ni7Mo6_貧Mo
2. 陽極相理論—晶界σ相析出并溶解
超低碳不銹鋼(由于碳化物析出引起的晶間腐蝕減少),特別是高Cr、Mo鋼在650-850 受熱后,在強氧化性介質中仍會產生晶間腐蝕。
.在晶界形成了由FeCr或MoFe金屬間化合物組成的 相
.在過鈍化-即強氧化的條件下,σ相發生嚴重的選擇性溶解。
.Cr、Mo、Nb、Ti會促使σ相形成

3. 吸附理論—雜原子在晶界吸附
超低碳18Cr-9Ni不銹鋼在1050℃固溶處理后,在強氧化性介質中(如硝酸加重鉻酸鹽)中也會出現晶間腐蝕,無法用前面兩理論解釋。
P和Si等在晶界發生吸附,使得晶界的電化學特性發生了改變


4. 應力論
晶間腐蝕趨勢源于第二相沉淀時產生的內應力。
具有巨大內應力的畸變區在腐蝕介質中顯示為優先溶解的陽極行為。
快冷和退火處理可以減少第二相的生成,從而抑制了晶間腐蝕
影響因素
●加熱溫度和時間-TTS(Temperature-Time-Sensitivity)曲線
.750℃以上時:析出不連續顆粒,Cr擴散也容易,不產生晶間腐蝕;
.600-700℃之間:析出網狀Cr23C6,晶間腐蝕最嚴重;
.低于600℃:Cr、C擴散緩慢,需要更長時間才能形成碳化物,晶間腐蝕減弱;
.低于450℃:難于晶間腐蝕。

●合金成分
.C:
奧氏體不銹鋼中含碳量越高,產生晶間腐蝕傾向的加熱溫度和時間范圍擴大,TTS曲線左移,晶間腐蝕傾向越大。
.Cr、Mo
Cr、Mo含量增高,降低C的活度,減輕晶間腐蝕傾向;
.Ni、Si
Ni、Si等非碳化物形成元素,提高C的活度,降低C在奧氏體中的溶解度,促進C的擴散和碳化物的析出。
.Ti、Nb:
Ti和Nb是非常有益的元素。Ti和Nb與C的親合力大于Cr與C的親合力,在高溫下先于Cr形成穩定的TiC和NbC,從而大大降低了鋼中的固溶C量,使Cr23C6難以析出。
Ti和Nb使TTS曲線右移,降低晶間腐蝕傾向。
.B:
在不銹鋼中加入0.004-0.005%的B可使TTS曲線右移,B在晶界的吸附減少了C、P在晶界的偏聚
控制措施
1.降低含碳量:
低碳不銹鋼,甚至是超低碳不銹鋼,可有效減少碳化物析出造成的晶間腐蝕。
早期:18Cr-9Ni:0.20%C,極易晶間腐蝕
后期:C:0.08% - 0.03%
2.合金化:在鋼中加入Ti或Nb,板出TiC或NbC,避免貧Cr區的形成。通過調整鋼的成分,形成雙相不銹鋼,如在奧氏體中加入5~10%的鐵素體。由于相界的能量更低,碳化物擇優在相界析出,從而減少了晶界的沉淀。
3.適當的熱處理
對含碳量較高(0.06-0.08%)的奧氏體不銹鋼,要在1050-1100 進行固溶處理;
對鐵素體不銹鋼在700-800 進行退火處理;
加Ti和Nb的不銹鋼要經穩定化處理。
五、不銹鋼焊縫腐蝕
.固溶處理的奧氏體不銹鋼
.腐蝕區-母材板上離焊縫有一定距離的一條帶上
.原因
.焊接過程中,該帶上經受了敏化加熱,引起Cr的碳化物析出


六、不銹鋼刀線腐蝕
.加Ti、Nb穩定化處理的不銹鋼
.腐蝕區
-在臨近焊縫的金屬窄帶上發生嚴重的腐蝕而成為深溝
.原因
-焊接時,臨近焊縫處與熔融金屬接觸,溫度達950-1400℃,鋼中的M23C6、TiC、NbC全部溶解
-二次加熱時(雙面焊、焊后退火),又重新沿晶界沉淀:貧Cr或枝晶MC溶解

七、剝蝕
——概念
剝蝕又稱層蝕,腐蝕沿平行于表面的平面(晶界)萌生,逐步發展,最終使金屬剝落基體,呈現層狀形貌。
——原理
金屬具有層狀晶粒結構,由于腐蝕體積膨脹效應,沿晶界產生壓應力,隨著應力增加,使片狀晶粒膨脹鼓起,最終使表面剝落。
——產生剝蝕的條件
(1)合金具有晶間腐蝕傾向
(2)合金具有一定的層狀結構
(3)適當的腐蝕介質,如氨類、NO3-、H2O2等
——剝蝕的控制方法
(1)改用沒有層蝕的合金
(2)使用熱處理方法,減小晶間腐蝕
(3)采用表面保護措施
(4)采用犧牲陽極的陰極保護方法
八、 選擇性腐蝕
.定義:Dealloying
指在多元合金中較活潑組分的優先溶解,這個過程是由于合金組分的電化學差異而引起的。
.特點:
在二元或多元合金中,較貴的金屬為陰極,較賤的金屬為陽極,構成成分差異腐蝕原電池,貴的金屬保持穩定或與較活潑的組分同時溶解后再沉積在合金表面,而較賤的金屬發生溶解。
.比較典型的選擇性腐蝕是黃銅脫鋅和鑄鐵的石墨化腐蝕。
黃銅脫鋅
.黃銅:Cu-Zn合鑫
- 加Zn可提高Cu的強度和耐沖蝕性能
- 隨Zn含量的增加,脫鋅腐蝕和應力腐蝕將變得嚴重
- 黃銅脫鋅即是Zn補選擇性溶解,留下了多孔的富Cu區
- 導致合金強度大大下降
.脫鋅形態
- 均勻型或層狀腐蝕
.Zn含量較高的合金,酸性介質
- 塞狀脫鋅
.Zn含量較低的黃銅,中性、堿性和弱酸介質
.海水熱交換器

影響因素
.Zn含量的影響
-α黃銅(Zn在Cu中的固溶體合金)
.Zn<15%,紅銅,換熱器,不發生脫鋅
.Zn 30-33%,制作彈殼
-α+β黃銅(β:CuZn金屬間化合物)
.Zn 38-47%
.加工性能好,熱交換器,脫鋅較嚴重
-導致合金強度大大下降

溫度對三種黃銅腐蝕的影響
(在2N NaCl溶液中,經24天水線試驗)

機理解釋
(1)鋅的選擇性溶解
這種理論認為,黃銅表面的鋅原子發生選擇性溶解,留下空位,稍里面的鋅原子通過擴散到發生腐蝕的位置,繼續發生溶解,結果留下疏松多孔的銅層。
(2)溶解—沉積
這種理論認為銅和鋅以金屬離子形式一起進入溶液,銅離子再發生還原以純銅的形式沉積出來(稱為回鍍)。
(1)黃銅溶解
(2)Zn離子留在溶液中
(3)Cu鍍回基體上
.陽極反應:Zn→Zn2+ +2e,Cu→Cu+ +e
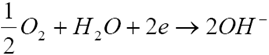
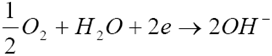
.陰極反應:O2+2H2O+4e → 4OH-
.Zn2+留在溶液中,而Cu+與溶液中氯化物作用形成Cu2Cl2,并分解:
Cu2Cl2 → Cu+CuCl2
.Cu2+參加陰極反應 Cu2++2e→Cu Cu又沉淀到基體上
.總的效果是Zn溶解,留下多孔的Cu

防止脫鋅的措施
●改善環境
——脫氧或陰極保護