疏水涂料的理論模型
液體在固體表面的潤濕特性常用楊氏方程描述。液滴與固體表面的接觸角大,潤濕性差,其疏液體性強;反之則親液體性強。固體表面的疏水性與其表面能密切相關。固體表面能低,靜態水接觸角大,當水接觸角大于90°時呈明顯的疏水性。目前已知的疏水材料中有機硅和有機氟材料的表面能低,并且含氟基團的表面能依—CH2—>—CH3>—CF2—>—CF2H>—CF3的次序下降。—CF3的表面能低至6.7mJ/m2,在光滑平面上的水接觸角最大,通過Dupre公式可計算為115.2°,長鏈碳氫基團的自組裝有序單層膜的水接觸角可達112°。而通常低表面能無序排列的有機硅、有機氟聚合物的水接觸角分別為101°和110°。
固體表面的潤濕性是由固體表面的化學組成和表面三維微結構決定的。通常有2種方法可提高固體表面的水接觸角和疏水性:①通過化學方法改性固體的表面化學組成,降低其表面自由能;②改變固體表面的三維微結構,提高固體表面的粗糙程度。在光滑平面上通過化學方法降低固體表面的自由能來提高其疏水性是相當有限的,水接觸角不超過120°。自然界很多植物葉子表面存在超疏水性,最典型的就是荷葉。德國波恩大學WBarthlott和CNeinhuis系統研究了荷葉表面的自清潔效應,發現荷葉表層生長著納米級的蠟晶,使荷葉表面具有超疏水性,同時荷葉表面的微米乳突等形成微觀粗糙表面(見圖1),超疏水性和微觀尺度上的粗糙結構賦予了荷葉“出污泥而不染”的功能,也就是荷葉效應(Lotus-effect)。
中科院江雷等研究發現荷葉表面的乳突(平均直徑5~9μm)上還存在納米結構(124.3±3.2)nm,這種微米結構與納米結構相結合的階層結構是產生超疏水和自清潔效應的根本原因。合適的表面粗糙度對于構建疏水性自清潔表面非常重要。Wenzel發展了楊氏模型和接觸角方程,提出了固體粗糙表面的接觸角方程,引入了粗糙度因子r(粗糙面實際面積與幾何投影面積的比率,r≥1)。

圖1 荷葉表面的微觀結構及超疏水效果
提高固體表面粗糙度,對于疏水表面(θ>90°,cosθ為負值;而親水表面θ<90°,cosθ為正值,提高粗糙度可形成超親水表面)則可大大提高其疏水性,水接觸角可高達150°以上。根據Wenzels理論,浸潤性由固體表面的化學組成和微觀幾何結構共同組成,一定的表面微觀粗糙度不僅可以增大表面靜態接觸角,進一步增加表面疏水性,而且更重要的是可以賦予疏水性表面較小的滾動角,從而改變水滴在疏水性表面的動態過程。Cassie在此基礎上考慮到實際當中固-液界面間的空氣氣泡,提出了應用更為廣泛的Cassies模型和方程,其中f為液體接觸固體表面的分數。超疏水涂膜的獲得源于自然界,可通過仿生的方法人工構建粗糙表面并進行疏水修飾8。固體表面潤濕模型見圖2。

圖2 固體表面潤濕模型
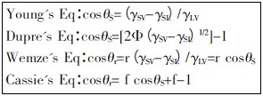
接觸角方程如下:

式中:γSV、γSL、γLV分別為固-氣、固-液、氣-液間的界面張力;Φ為相關系數;θS為光滑表面的接觸角;θr為粗糙表面的接觸角;r為粗糙度因子;f為液體接觸固體表面的面積分數。
荷葉效應的涂膜,必須同時具備三方面的特性:
⑴具有低表面能的疏水性表面;
⑵合適的表面粗糙度;
⑶低滾動角。
通過2種方法可實現荷葉效應:一種是加入超強疏水劑,如氟硅類表面活性劑,使涂膜表面具有超低表面能,灰塵不易黏附;另外一種是模擬荷葉表面的凹凸微觀結構設計涂膜表面,降低污染物與涂膜的接觸面積,使污染物不能黏附在涂膜表面,而只能松散地堆積在表面的凹凸處,從而容易被雨水沖刷干凈。
低表面能疏水涂料的分類
低表面能疏水涂層具有防水、防霧、防雪、防污染、抗粘連、抗氧化、防腐蝕、自清潔以及防止電流傳導等重要特點,在科學研究和生產、生活等諸多領域中具有極為廣泛的應用前景。低表面能疏水涂層通常分為兩類。一類是光滑表面的低表面能涂層,該涂層表面的靜態水接觸角θ>90°;還有一類則是超疏水涂層,它是一種具有特殊表面性質的新型涂層,該固體涂膜的水接觸角大于150°且水接觸角滯后小于5°。前一種涂層研究起步比較早,已經廣泛應用于抗沾污領域。而第二種涂層是近年來才發展起來的較新的研究領域,比如青山新材料的TIS-NM納米涂層是電子產品PCB板防水疏水的優秀代表。
德國STO公司下屬的ISPO公司,根據荷葉效應機理和硅樹脂外墻涂料的實際應用結果,經過3年研究工作,于20世紀90年代末成功地把荷葉效應移植到外墻乳膠漆中,開發了微結構有機硅乳膠漆,即荷葉效應乳膠漆。
謝瓊丹等利用2種聚合物在同一種溶劑中溶解度不同的原理,得到了表面具有類似荷葉的微米-納米雙元結構的涂層。首先采用常規的自由基聚合和縮合聚合合成了PMMA和EPU這2種聚合物,然后將它們經過分離提純后溶于同一種溶劑制得了超疏水涂層,水接觸角可達166°,滾動角僅為(3.4±2.0)°。另外,利用上述同樣的原理,用原子轉移自由基聚合的方法合成了嵌段共聚物PS-b-PDMS和PP-b-PMMA,并以嵌段共聚物為成膜物,得到了水接觸角分別為167°和160°的涂層。Sun等最近報道了一種納米澆鑄的方法制備的超疏水的表面。他們首先利用荷葉作為初始模板制作一個陰極模板,然后利用陰極模板制作陽極模板。陽極的模板與荷葉表面有同樣的表面結構和超疏水性。
雖然據稱“荷葉效應”是一種簡單的制備超疏水涂層的方法,但是此類超疏水產品并無很大的實用價值。而市場上流通的所謂有“荷葉效應”的涂料并不具有超疏水性質,僅具有一定的疏水特性,且接觸角都在120°以下,并且由于添加了一些蠟、含氟添加劑等,使用壽命大大縮短。
由此可見,仿生學在涂料疏水性方面的應用目前并不成熟,尤其在超疏水領域僅處于理論研究階段,今后仍將繼續為研究熱點。有機硅/氟材料是最重要最常用的低表面能疏水材料,聚二甲基硅氧烷的表面能為21~22mN/m,全氟烷則更小,為10mN/m,比一般的有機化合物都小,遠比水的表面能(72.8mN/m)小,具有顯著的疏水性。
采用有機硅樹脂制得的漆膜水接觸角一般在100°左右,疏水能力一般,耐水時間短,在水中短時間浸泡會使表面能逐漸增大,疏水性下降明顯。因此有機硅樹脂在疏水涂層制備方面的應用受到了限制。
有機氟化合物中的氟原子決定了其具有特殊的性能。氟是元素周期表中電負性最大的元素,其半徑小、C—F鍵長短、鍵能大以及含氟聚合物主鏈連接的氟原子沿著鋸齒狀C—C鍵作螺旋狀分布的特征,使得聚合物主鏈受到嚴密的屏蔽而免受外界因素(光、水、氧以及化學物品)的直接作用,從而提高了有機氟聚合物的耐候性、抗氧化性及耐腐蝕性。有機氟化合物分子間的凝聚力低,空氣和聚合物界面間的分子作用力小,表面自由能低,表面摩擦系數小,賦予了有機氟聚合物優異的耐水性、耐油性及耐磨性。正是由于含氟聚合物具有上述優異的特殊性能,含氟單體及其聚合物在電子防水防潮領域的研究也就成為了主流。